← All Projects
Senior Capstone Designer

Berkley Orchard Capstone
+ Hunnicutt Food Forest

Senior capstone stream restoration design for Berkley Orchard Park, paired with the Hunnicutt Food Forest — a strategic green infrastructure project connecting Clemson's campus to the broader community.

HEC-RAS ArcGIS Food Forest Design Green Infrastructure
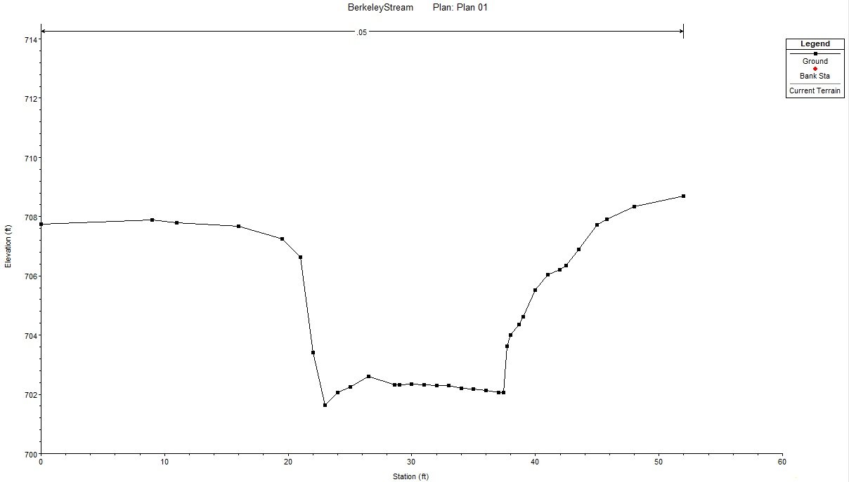
Field cross-section survey — Berkeley Orchard Tributary One

Field data from Tributary One of Eighteen Mile Creek — cross-section surveys, bankfull identification, and channel geometry measurements at Berkeley Orchard Park, Pendleton SC.

Two Projects, One Bigger Story

The capstone is a preliminary stream restoration design for Berkley Orchard Park — focusing on Tributary One of Eighteen Mile Creek. The work uses ArcGIS for watershed delineation and HEC-RAS for hydraulic modeling, producing a design-level restoration plan at professional standards.

But the Food Forest is where engineering meets community. The Hunnicutt Food Forest is a strategic green infrastructure project sited on East Campus — deliberately positioned to link the university's ecological work to the surrounding neighborhood. It's not just a garden: it's a permanent, low-maintenance installation of native and productive plants designed to feed people, build soil, slow stormwater, and demonstrate what campus land can do when it's managed with intention.

The seedlings being propagated by Students for Stewardship will be installed in the Food Forest. The capstone engineering informs how water moves through the site. The stream restoration work across campus — Hunnicutt Creek CI — connects directly. These aren't three separate projects. They're one integrated vision for what Clemson's East Campus could become.

The 5 S's of Water

The Food Forest and the capstone restoration design are both built around this framework for watershed stewardship:

🐢
Slow
🌿
Spread
💧
Sink
🪣
Store
🤝
Share
Channel geometry and Rosgen classification analysis

Rosgen channel geometry — G4c existing vs. C4 target morphology

Watershed DEM and delineation

LiDAR-derived DEM (10cm) — watershed delineation and drainage analysis

Berkeley Orchard project card

Project Info

RoleSenior Capstone Designer
SiteBerkley Orchard Park / East Campus, Clemson
Focus AreaTributary One, Eighteen Mile Creek
ToolsArcGIS, HEC-RAS, CAD
📷 Coming soon: Photos of the Food Forest construction and planting installation.
📷 Coming soon: Birdhouse donation to Cleo Valley and Food Forest installation photos.